如何打造让人主动漫步的街区?从数据视角破解步行吸引力密码
我们或许都有过这样的经历:两条长度相近的路,一条让人只想打车快速通过,另一条却能让人逛到忘记时间。
明明距离相同,选择却大相径庭。
原因往往不在于路程长短,而在于行走时的感受——有些路程只是枯燥的通勤,有些路程却能成为愉悦的体验。
但问题是,这种“感受”向来只能被描述,却难以被精准定义。它究竟能否被量化?能否被验证?能否转化为可指导规划与商业选址的依据?
近期,由清华大学工业工程系祁炜副教授主持的《Data-Driven Facility Layout for Enhancing Walk Appeal》研究,试图通过真实数据给出答案。
为何距离够近
人们却不愿步行?
过去十年,“15分钟生活圈”在城市规划领域几乎成为标准答案。其逻辑清晰明了:只要距离足够短,人们自然愿意步行。
但现实往往比理论模型更复杂。
你或许也有这样的观察:即便地图显示仅1公里,你仍会选择扫码骑车;可若在成都街头漫步,却能“直到所有灯都熄灭也不停留”。

成都玉林路让许多人流连忘返 | 来源:小红书@路克马
可见,距离只是前提,并非核心答案。对普通人而言,“走得舒服、逛得有趣”远比单纯“距离近”更具吸引力。
为量化这种舒适感,该研究采用了高德地图的两组核心数据:上百万条用户真实出行起止点记录,以及城市所有关键POI(如餐饮、便利店、商铺)的精细分布。
研究通过潜在分类模型分析,将行人分为两类——
“体验型出行”者:为逛街、娱乐、社交而步行,享受过程;“任务型出行”者:为通勤、办事、送货而步行,追求效率。
两类人对街道的需求截然不同。
任务型行人更关注效率,如道路是否顺畅、有无阻碍、能否省力,沿途店铺影响不大;体验型行人则是步行意愿的“潜力群体”,街道越丰富、越有看点、氛围越好,他们越愿意放慢脚步、延长步行距离。
那么,怎样的商业街能吸引这些“为逛而走”的人群?研究给出了一个精细却略带反常识的业态配方——购物类店铺是提升步行概率的显著因素。琳琅满目的商品意味着更多看点与消费可能,是吸引人们放慢脚步的重要动力。
然而,餐饮店密集度反而会降低步行吸引力。
并非餐饮本身不好,而是大量餐饮带来的负面影响——油烟、占道外摆、外卖骑手穿梭,使街道显得杂乱,让人更想绕行或选择其他交通方式。
服务类设施(如美容、快递网点)影响不大,多数人“有需求才前往”,不会额外增加步行吸引力。
反倒是看似普通的便利店、日杂店,会悄悄提升街道的安全感与生活氛围。它们如同简·雅各布斯所说的“街道的眼睛”,将日常生活气息散布街头,让道路更有人情味。
由此可见,店铺种类与数量直接影响街道行走体验,也决定人们是否愿意走下去。
换句话说,打造适合步行的街道,就像调制鸡尾酒——零售是基酒、便利店是点缀,餐饮需恰到好处地添加。比例调对了,街道气息就会像一杯结构平衡的好酒,层次分明、让人欲罢不能。
谁在悄然影响
商铺的聚散与密度?
商业设施应集中还是分散?这是城市规划中争论百年的问题。支持分散者认为便利性最重要,生活需“处处有店”;支持聚集者则认为要“力出一孔”,汇聚人流才能繁荣商业。
品牌选址亦是如此。有人坚持“主路才有客流”,有人觉得“支路更划算”。
该论文给出了更清晰、可量化的判断——聚散与否,取决于街区步行环境本身及现有设施密度。
若街区步行环境较差,集中打造一个强中心更有效。
比如车流过大、步道狭窄、街景单调、缺乏绿化遮荫等负面因素聚集,会让人不愿多走一步。此时若商业分散,每条路都“差一点意思”,无法形成足够吸引力。
将商业密度集中于一条主轴,可抵消环境不足——这正是许多城市自发形成核心商业街的原因。
但若街区本身条件优越:路网细密、方向多样、绿树成荫、步行舒适,情况则完全不同。
此时继续将商业集中于主街,只会造成拥堵与过度竞争。更好的做法是将店铺向支路扩散,让商业像毛细血管般渗入整个街区。这不仅能提高区域商业效率,还能带来轻盈、有趣、充满探索感的城市体验。
由此看来,在上海、成都等商场饱和的城市,近年涌现的网红小马路是必然趋势。

上海梧桐区的网红小马路 | 来源:小红书@梵克Frankkie
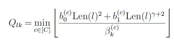
进一步,论文提出了一个关键指标:最小聚集阈值(minimum clustering level)。

通俗来讲,根据街道长度(Len)、步行舒适度(b₀、b₁、γ)、设施吸引力(β),可计算出对应的阈值。
当已有设施少于阈值时,继续将商业增量集中于主街,最能提升整体活力。但当店铺数量超过阈值,可考虑在周边街区开设新店,性价比更高。
公式计算虽复杂,部分参数设定也较主观,难以化为精确数字,但这仍是城市规划与商业地产领域的重要探索——
它首次为街区商业布局提供了“可计算的饱和度”指标,让选址与规划有机会从经验判断转向模型与数据分析。
随着更精细的时空数据(如不同时段人流、消费数据)纳入模型,未来商业布局或能像互联网推荐算法般动态精准。
人的脚步指向
规划与商业的未来
作为2025年INFORMS(国际运筹学与管理科学研究协会)公共部门运筹领域年度最佳论文奖(入围奖)获得者,该研究学术含金量毋庸置疑。
只是这项数据驱动的研究为全英文,晦涩难懂。笔者也是借助AI协助,才勉强理解大概。


但笔者认为,这项研究的意义不只在于用公式推导出新概念,更在于改变了我们看待城市与商业的方式。
首先,它让选址从静态“点”转向动态“路径”。
传统选址判断多基于交通节点、楼宇密度、入住率等静态信息,关注“区域内有多少人”;如今我们知道,动态的沿途体验决定了“能吸引多少人”,应成为选址重要依据。
同时,对周边业态组合吸引力的判断,也可不再依赖直觉,多了一份技术支撑。
其次,它推动商业街区营造与更新进入量化精细化时代。
过去,街区改造多依赖规划师经验与操盘手直觉。而该论文提供的模型,能模拟不同布局策略,给出主街商业密度有效区间与扩散选址启动点,让规划不再完全依赖过往经验。
第三,它为“15分钟生活圈”带来新方向——从“物理可达”到“情绪易达”。
若说第一代理念强调路程远近,这项研究则提醒:真正决定商业配套“步行可达性”的,是整个路径的体验舒适度——
街边建筑界面的开敞性、街道阴影绿化与遮雨设施是否充足、店铺业态聚合度,以及蜿蜒曲折、富有探索感的路网等,都比冰冷笔直的道路更能激发步行意愿。
更深层次上,这意味着未来商业社区规划应从“以时间为中心”转向“以体验为中心”,将步行舒适度作为衡量社区活力、城市品质的新标准。
设计的魅力
与城市的生命力
如今,城市规划者与商业经营者越来越意识到:在城镇化率创新高的今天,下一阶段城市竞争力比拼,不再仅取决于建筑高度、设施密度,而在于能否为市民提供高品质、充满乐趣的日常体验。
建筑大师托马斯·赫斯维克在《人本主义》中谈及步行体验时,也强调了类似观点:街道建筑的复杂度与趣味性,直接影响人的心情与快乐程度。
不同语言与逻辑,都指向步行街区对城市与生活的价值。
当一条街能让人发自内心地愿意慢下来、停下来、走下去时,它便会绽放出持久的商业创造力与带来幸福感的城市生命力。
本文来自微信公众号“Mall先生”,作者:侘寂の皮特,36氪经授权发布。
本文仅代表作者观点,版权归原创者所有,如需转载请在文中注明来源及作者名字。
免责声明:本文系转载编辑文章,仅作分享之用。如分享内容、图片侵犯到您的版权或非授权发布,请及时与我们联系进行审核处理或删除,您可以发送材料至邮箱:service@tojoy.com





