DeepSeek爆红的背后:2025年AI大模型的潮汐流向何方?

目前,DeepSeek的出现打破了模型中固有计算率和部分阶段的约束,但仍有许多问题需要解决,如模型定向蒸馏,如数据系统的构建,以及生态模式中各方利益的交叉配合等。这不仅是一个技术问题,也是一个行业向上的行业问题。
但是,可以肯定的是,2025 年中国 AI 大型行业潮汐必然波涛汹涌,势不可挡。
DeepSeek 它的出现,似乎是渐渐的 AI 落地应用程序描绘了一个确定的未来蓝图。
近几年来,AI 大型进场门槛早已明确标定 —— 数以万亿计的参数规模,极强的算率支撑,以及大量高质量的数据,这些都意味着高 进场价格”。
2025 春节期间,DeepSeek 就像一匹黑马,强烈地打破了中外。 AI 原来的大型试炼场规则。
这个来自量化机构的团队将大模型参数值大大降低到原来的水平。 1/10,借助强化学习和模型蒸馏技术,促使一个小模型在解决数学问题时受到压力 GPT - 4o。不仅如此,DeepSeek 还可以开源代码,开放 API,以超低的价格展示肩比 OpenAI 这种强大的能力,让国内外网友惊叹不已。 神秘的东方力量。
在某种程度上,虽然这些在水面上的表现震撼了AI行业,但2024年AI行业上空的几个核心问题仍然盘绕着几个需要延长时间线考虑的问题:也就是说,工业大模型离我们有多远?在去年几乎达成共识的AI应用中,数据、计算率、模型三个节点,DeepSeek 这一“现象级事件”到底会带来什么影响?
2025年,工业数智化的大幕已悄然拉开。
第一,技术范式发生了变化,模型进入了“低价优质”的时刻。
在以往 AI 在大型落地过程中,有许多难题限制了它的广泛应用。在这些问题中,“看不到希望的烧钱”排名第一。
以 GPT - 4 举例来说,它的训练数据量高达 13 万亿 token,包括整个互联网领域的文字。如此庞大的数据标注工作不仅成本高,而且费时费力。同时,它对计算能力的需求也极其巨大,依赖数万张。 A100 GPU 集群,一次训练的费用超过了 1 亿美金。如此昂贵的成本和资源需求,使得技术难以落地。
这也是DeepSeek备受推崇的地方,也就是说,它可以通过纯强化学习(RL)实现 在数据准备方面,“自我进化”具有显著的优势。
换句话说,它不需要标记数据,这大大降低了数据准备的成本和难度,为开发者节省了大量的时间和精力,使他们能够更加专注于模型训练和优化。
同时,DeepSeek 奖励设计简单,只使用 答案的准确性” 和 “格式规范” 作为奖励信号。这种简单的奖励制度避免了复杂的奖励模型可能导致的 “作弊” 风险,促使模型训练更高效、更稳定。
这种简单的奖励设计也能更好地引导模型朝着正确的方向发展,提高模型训练效果。避免一些意想不到的情况,导致模型训练出现偏差。
此外,DeepSeek 选用 GRPO 用组评分代替传统的算法 Critic 模型,计算消耗减少 30% 上述,进一步减少了对硬件资源的需求,即对“卡”的依赖。
值得注意的是,由于计算能力的降低,其模型能力也没有受到影响。
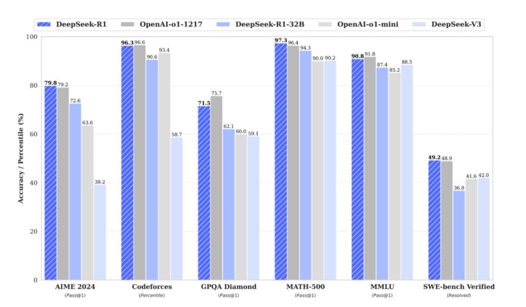
一组数据显示,DeepSeek-R11在DeepSeek发表的论文中 在 AIME 2024 在测试中得到了 79.8% 的 Pass@1 评分,略⾼于 OpenAI-o1-1217。在 MATH-500 事实上,它的分数已经达到 表现与97.3% OpenAI-o1-1217 相当,并且明显优于其它模型。

对于DeepSeek来说,外部似乎正在发现,计算率和参数似乎不再是AI的进入门槛,或者更准确地说,就是在DeepSeek身上,外部看到了一种更适合AI落地门槛低、成本低的方式,从成本方面更有利于落地。
从行业的角度来看,这些变化的最佳受益者是中大型制造商。在过去的两年里,大型央国企、大学、民生部门等。都是基于大型项目进行市场招标,其中很大一部分是预培训项目,价格通常超过1000万甚至1亿元,作为企业的定向投资。
但是,在DeepSeek之后,可以预测,今年中大型大型模型项目的目标将发生显著变化,对中大型企业甚至央国企而言,它能以较低的成本部署大型项目,或将更多的重点转移到数据治理阶段,从而进一步提高最终的模型效果。
小科技公司也受益匪浅。过去,由于资金和技术的限制,他们可能无法涉足。 AI 领域。但 DeepSeek 它的出现为他们提供了可能性,公司可以利用相对较低的成本,基于 DeepSeek 开发适合自己项目需求的研究 AI 应用,促进企业业务的发展和创新。
总体来看,加强学习(RL)技术范式的改变,不只是 AI 大模型的落地门槛和落地成本将降低,这也为更多的企业和开发者提供了参与。 AI 创新机遇。它不仅有助于推广 AI 科技的发展,也为各行业的数字智能转型与优化提供了新的动力。
开源加速:垂直小模型的时代已经到来。
除RL技术范式的变化外,DeepSeek发表的论文还有一个亮点,那就是跨维知识蒸馏系统的构建。
一组数据显示,DeepSeek-R1-Distill-Qwen-AIME中的7B 在2024评估中,正版QwQ-32B得分超过55.5%。-Preview,当参数减少81%时,性能提高23%。在MATH-500测试中,其32B版本达到了94.3%的惊人准确性,比传统训练方法提高了近40%%。
它通过将32B模型的推理逻辑解构为一种可移动的认知模式,然后通过动态权重分配机制注入到7B模型中,完成了“思维模式”的传递,而不是简单的“知识记忆”。
在这条技术路径下,小模型不仅继承了解决大模型问题的能力,还获得了解决问题、逻辑演绎问题的能力。这也意味着⼤模型推理方法可以蒸馏到⼩在模型中,其性能优于直接从型号。⼩模型训练的结果。
在人工智能领域,“模型越大,性能越强”的认知长期占据主导地位。从GPT-3到GPT-4的进化轨迹似乎证明了“参数规模决定模型能力”的规律。
并且伴随着这种“蒸馏” 随着“强化学习”复合训练方法的出现,小模型时代似乎终于到来了。
要知道,对于很多企业来说,尤其是中小企业和垂直领域的专业企业来说,在追求模型性能时,往往会受到大型模型所需的高额资源成本的影响。
DeepSeek 证实⼩模型也可以发挥⼤这些公司在使用后可以减少硬件配置(例如⾼性能服务器,GPU 等待)购买和租赁⽀出,降低能耗成本。
比如,⼀家庭致力于医学影像分析。⼩企业,本来想要使用的⽤⼤为了处理图像数据,模型可能需要建立一个昂贵的计算集群。现在,借助于优化。⼩模型,能在常规计算设备中实现目标,⼤降低成本的幅度。
其中,是的⼩在模型有效性的趋势下,⾏公司对行业的理解通常是正确的⾃对工作流程和数据特征有着深刻的理解,他们往往能更快地将模型集成到现有的业务系统中。
由于⼩模型⼀一般来说,结构更简单,参数更少,开发⼈员工可以更方便地进入⾏为满足特定情况,定制化开发⾏业的需求。⽐如,⼀家⾦以融风控公司为基础⾃⾝对⾦融⾏业⻛know进行保险评估 - how,能迅速适应⼩模型嵌⼊在其风险控制系统中,缩短开发进度,更快地实现模型上线和业务推广。
在竞争激烈的市场中,这种优势恰恰可以促使一些公司在AI领域实现高效超车,成为垂直跑道AI规则的制定者和领导者。
第三,效率和场景突破,端侧应用爆发期来临。
大家都知道,在实际应用中,尤其是边缘计算和实时决策等场景, AI 模型通常面临许多限制。
在边缘计算场景中,由于设备资源有限,如移动终端、眼镜终端等,大型设备很难运行。 AI 模型,然后限制 AI 这些应用领域的技术。
另外,在金融投资、工业生产等即时决策场景下,传统 AI 模型推理的速度和准确性往往难以满足要求。
DeepSeek 它的出现给了一个新的想法。它在模型压缩、推理效率和训练成本优化方面的突破,为其在效率和场景上的巨大突破提供了有力的支持。
DeepSeek 通过模型压缩技术,优化后的模型可以更好地适应智能眼镜等边缘计算设备等资源有限的设备。这使得边缘计算设备更强大 AI 能力,为用户提供更方便、更智能的感觉。
例如,在智能眼镜中,DeepSeek 可以实现更快更准确的图像识别和语音交互功能,用户可以通过智能眼镜更高效地获取信息、导航和识别物体,大大提高了智能眼镜的实用性和应用领域。
其高效推理能力在即时决策情景中也起着重要作用。
以金融投资为例,金融企业为了做出准确的投资决策,需要在很短的时间内分析和处理大量的市场数据。它可以快速分析和预测数据,为金融投资提供实时的决策支持,帮助金融企业提高交易效率和盈利能力。
即时质量检测和故障检测在工业生产中也很重要。同时能迅速分析生产中的数据,及时发现质量问题和设备故障,从而提高生产效率和产品质量,降低成本。
可以说,在 2025 2008年,DeepSeek出现, 或者会导致新一轮终端应用爆发,为各行业的数字化转型和优化提供有力的技术保障。DeepSeek 应用突破多种场景,不仅展示了其技术优势,而且为各行业的数字化转型与优化提供了新的解决方案。
四、生态变革:大厂炼模型,中小厂应用。
DeepSeek也带来了AI生态的变化,而这一变化也将为AI落地产业带来更多的可能性。
一个事实是,现在 AI 这个行业呈现出一种 金字塔结构,OpenAI、Google 等待巨头控制基本模型,中层企业依赖于 API 调用,陷入 底层中小开发者缺乏定制能力,成为“数据空心化”的生态附属品。
这一结构的致命缺陷是创新停滞,巨人为了维持垄断,必然会限制模型的开放。
DeepSeek 开源核心模型和开放 API 定制能力,这个举动打破了过去 OpenAI 等待巨人主导 “金字塔式” 生态。

大厂可以在新的生态模式下,致力于炼制模型,利用其强大的技术水平和资源优势,不断优化和提高模型的性能和能力。
例如,阿里巴巴云、腾讯云等平台可以转化为 “模型超市”提供数百个垂直领域的小型模型,以满足不同行业和用户的需求。通过不断的研发和创新,这些大工厂可以推出更先进的模型架构和算法,促进 AI 技术的发展与进步。
而且中小型工厂可以致力于应用,基于开源模型快速开发专用。 AI 不需要依靠巨人提供工具 “黑箱” 能力。这为中小工厂提供了更多的发展空间和机遇,使他们能够充分发挥自己的灵活性和创新能力,开发出更贴近客户需求和行业特点的产品 AI 应用。
例如,一些中小型工厂可以满足工业质量检验、供应链预测等确定性要求。 API 根据需要微调模型,开发出高效、准确的模型 AI 应用程序,为用户提供定制的解决方案。这一生态变化也带来了技术民主、生态正循环、场景定制等各个方面的优势。
技术民主可以使制造业、农业等非技术企业也能参与其中 AI 在技术的应用和创新中,促进了各个行业的数字化转型和优化。正生态循环可以从模型收入中分为开发者对行业数据优化模型的贡献,构成 “数据 - 模型 - 应用” 协同网络,推进 AI 产业可持续发展。
可以说,DeepSeek 不仅仅是为了生态变革, AI 产业发展带来了新的机遇,也为各行业的数字化转型和优化提供了新的动力。在未来, DeepSeek 随着技术的不断进步和优化,生态变革的潜力将得到进一步释放。 AI 产业发展带来了更多的可能性。
五、2025,AI 的新迈向
AI落地产业在2025年的发展趋势越来越清晰。
在 2025 年,AI 发展将从过去对技术的简单崇拜逐渐转变为更加注重商业务实的应用。这种变化体现在技术研发、商业化路径、生态联盟建设等方面。
在技术研发领域,公司逐渐意识到盲目积累模型参数是不明智的。千亿规模模型不是万能钥匙,而是 DeepSeek - R1 一个成功的案例有效地证明,通过算法优化,数百亿的模型也可以与更大的模型相媲美。

因此,未来的R&D投资方向将更加集中在强化学习上(RL)以及模型蒸馏技术。
相对于简单的扩大信息量,RL 在商业应用中,自我进化能力和蒸馏技术的生态价值显示出更大的潜力。通过这些技术,企业可以在降低成本的同时提高模型性能,拓展其应用领域,进而走上高性价比的AI与业务融合之路。
选择商业化路径,B 终端市场成为优先规划的重点。
与汽车公司、医院、银行等各行业龙头企业合作,共同打造行业专属模式,按效果付费,既能实现公司与客户的深度绑定,又能促进双方在价值创造上的合作。
同时,对于中小客户群体来说,公司不应该忽视其潜在的市场需求。为这些客户提供便捷的开源模型和低代码平台 “AI 能力集装箱,能有效地降低定制成本,满足长尾市场的多样化需求,从而实现对整个市场的全面覆盖。
建立生态联盟对企业的发展同样重要。
另一方面,开源的核心框架,例如 DeepSeek 开放 RL 培训工具链,可以吸引开发者积极参与生态建设,聚集多方智慧和资源,形成强大的技术协作。
另外,跨界联盟的建立也是必不可少的。联合芯片制造商(如华为)、在垂直领域形成云服务提供商(如阿里云)和专业企业 “算率 - 模型 - 情景” 铁三角合作模式,能促进产业链上下游协同创新,营造合作共赢的产业生态环境。
就目前的行业形势而言,尽管中国 AI 在通用能力方面,大模型暂时难以完全超越。 OpenAI,但是,通过对垂直场景的深度培育和对生态的开放合作,完全有机会实现差异化突破。
展望 2025 年,中国 AI 产业发展的目标是建设一批 “小而精” 行业模式。这些模型在特定领域形成了西方模型。 “专而精” 通过对特定行业的深入应用和优化,模型局部优势逐步渗透到通用智能领域。
这种发展路线不仅能充分发挥中国在特定领域的产业优势,而且能成为世界 AI 产业发展提供了一种具有中国特色的创新模式和解决方案, AI 技术在全球范围内的多元化发展和应用。
写在最后:
DeepSeek 技术创新与生态开放,使 AI 从 “大游戏” 变成 “全员同创”。伴随着数字化 AI 互相催化,一个 技术越普及,数据越丰富,模型越智能。 已形成的飞轮。
然而,我们应该更加谨慎地着陆工业AI。虽然DeepSeek的出现打破了模型中固有的计算率和部分阶段的约束,但仍有许多问题需要解决,如模型定向蒸馏,如数据系统的构建,以及生态模式中各方利益的交叉配合等。这不仅是一个技术问题,也是一个行业向上的行业问题。
但是,可以肯定的是,2025 年中国 AI 大型行业潮汐必然波涛汹涌,势不可挡。
本文来自微信微信官方账号“工业家”,作者:斗斗,36氪经授权发布。
本文仅代表作者观点,版权归原创者所有,如需转载请在文中注明来源及作者名字。
免责声明:本文系转载编辑文章,仅作分享之用。如分享内容、图片侵犯到您的版权或非授权发布,请及时与我们联系进行审核处理或删除,您可以发送材料至邮箱:service@tojoy.com




