免疫耐受期病人抗病毒治疗可以获得多重好处?
编者按:
根据《慢性乙型肝炎防治指南(2022年版)》,慢性HBV感染免疫耐受期(IT期,以前也叫“大三阳”)群体还没有推荐接受抗病毒。然而,随着研究的深入,越来越多的研究表明,IT期患者的疾病进展风险高,HBV 肝硬化和肝癌的发生风险与DNA水平有关。
近日,云南省第一人民医院耿嘉蔚教授与昆明理工大学夏雪山教授团队的最新汇聚分析显示,IT期儿童和成人患者抗病毒有利于HBV 清除DNA阴转和HBsAg,其中IT期儿童患者更容易获得HBsAg清除/血清转换,成人患者联合影响素α(IFNα)经过治疗,其HBsAg清除/血清转化率明显提高,提醒IT期病人接受抗病毒,尤其是基于IFN。α治疗临床效益更好。
研究方法:
这项研究对PubMed进行了全面检索、Embase、MEDLINE、Cochrane 从成立到2023年12月5日,Library和万方数据发布了英文或中文文献,并对列入文章的参考书目和其他出版物进行了检查。
按AASLD执行 2018指南,IT期定义为:(a) 阳性HBsAg≥ 6个月,(b) 阳性HBeAg,(c) HBV DNA > 1 × 106 U/mL,(d) 男性35正常(男性35 U/L,女性25 U/L)或者低于标准值上限(男性ALT ≤ 60 U/L; 女性ALT ≤ 40 U/L),(e) 肝活检或无创检查显示无肝纤维化或只有轻微肝组织发炎(肝纤维化S) ≤ 1和肝组织发炎G ≤ 1)。
包括随机对照试验在内的研究(RCT)、前瞻性或回顾性的队列研究,所列研究标准为:(a) IT期病人数量的研究入组≥ 20例,基线无肝硬化或肝癌;(b) 研究报告了下列任何一种或多种结果(自发或经抗病毒):HBV HBeAg清除/血清转化率,HBsAg清除/血清转化率,或肝癌;(c) 随诊时间或治疗时间均值≥ 四十周。没有地域限制。
研究的基本特征
在meta分析中,最终有23项研究,包括5471例IT期患者(321例儿童5150例成人),其中17例在亚洲进行,3例在北美进行,1例在欧洲进行,2例在全球多中心进行。随机对照研究只有6项,其他17项是队列研究。7项研究的对象是儿童,平均或中等年龄为5.92。 - 11.9岁;16项研究的对象是成人,平均年龄或中位年龄为25.5。 - 47.7岁。在所有研究中,女性的比例约为38%。
共有16项研究对1759例IT期患者(321例儿童1438例成人)进行了评估。HBV合并 DNA阴转率为0% - HBeAg清除/血清学合并转化率为4%。 - 26%、HBsAg清除/血清转化率为0% - 9%。
研究结果:
1. IT期儿童和成人病人抗病毒有利于HBV的实现 HBsAg清除DNA阴转和HBsAg。
在IT期病人没有抗病毒。中、儿童和成人合并HBV DNA阴转率(2% vs. 0%)、HBeAg清除/血清学合并转化率(4% vs. 4%)、HBsAg清除/血清学合并转化率(0% vs. 0%)类似。
与未抗病毒相比,IT期儿童病人接受HBV抗病毒。 DNA阴转率(RR = 6.83, 95% CI: 2.90 - 16.05)HBsAg清除/血清学转化率(RR = 9.49, 95% CI: 1.74 - 51.76)均显着更高;而且HBeAg清除/血清转化率差不多(RR = 1.73, 95% CI: 0.21 - 14.12, 随机效应模型)。

免疫耐受期儿童患者在治疗和未治疗方面的主要结局比较
类似的汇总结局也在IT期成人患者中观察到。HBV是IT期成人病人抗病毒的。 未经治疗的病人DNA阴转率为25.84倍。(95% CI: 6.47 - 103.31),HBsAg清除/血清学抗病毒组转化率明显高于未抗病毒组。,合并RR为7.35(95%) CI: 1.41 - 38.27, p < 0.001)。但是HBeAg清除/血清转化率相似。(RR = 2.56, 95% CI: 0.35 - 18.47, p = 0.35)。< 0.001)。但HBeAg清除/血清学转化率类似(RR = 2.56, 95% CI: 0.35 - 18.47, p = 0.35)。
免疫耐受期成人患者的治疗和未治疗主要结果比较
2. IT期儿童病人更容易获得HBsAg清除/血清转换,成人联合IFN。α治疗可以显著提高HBsAg清除/血清学转化率
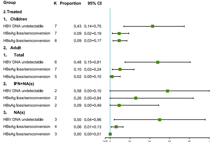
亚组分析显示,儿童HBsAg清除/血清学转化率在接受抗病毒的IT期患者中高于成人(9%) vs. 2%),但HBV 43%的DNA阴转率 vs. HBeAg清除/血清转化率48%(9%) vs. 10%)类似。
对成人病人经过不同的抗病毒策略进一步探索(IFNα NA vs. NA单药治疗)治疗效果,数据显示,与NA单药治疗相比,IFNα HBeAg清除/血清学转化率(26%)是NA联合治疗的IT期成人患者 vs. HBsAg清除/血清转化率(9%) vs. 0%)均更高。

接受抗病毒的免疫耐受期病人的亚组分析结果
3. IT期成人合并肝癌年患病率与免疫活跃期患者相似。
总中位随访时间为5.3年,IT期4133例成人患者中共有169例发生肝癌。肝癌发病率为0% - 6.6%,合并发病率为3.03/1000-年合并发病率(95% CI: 0.99 - 5.88, I2 = 86%,随机效应模型)。(注意:对儿童IT期患者肝癌的发病率没有研究)。

成年人IT期患者肝癌年发病率
对IT期、免疫活动期(IA期)和HBeAg阳性不确定期(IP期)患者肝癌的总发病率进行对比。资料显示,IT期患者肝癌年发病率低于IP期患者(RR: 0.46, 95% CI: 0.32 - 0.66);但IT类似于IA期。

与IT期和IA期相比,HBeAg阳性不确定期患者合并肝癌的发病率
肝霖君有话要说:
耿嘉蔚教授团队长期致力于免疫耐受期和慢性HBV感染不确定期慢性乙型肝炎患者的治疗和探索。早期对不确定期慢性乙型肝炎患者进行了汇聚分析,表明不确定期慢性乙型肝炎患者肝癌发病率高,自发HBsAg清除率低。
关于IT期患者的汇集分析也向我们揭示了IT期患者抗病毒的几个重要结果:
1) 未经治疗的IT期成人和儿童HBV患者 HBsAg清除/血清学的DNA阴转率和转化率都很低,说明IT期病人难以自发地实现HBV 清除DNA阴转和HBsAg。
2) 在接受抗病毒之后,无论是成人还是儿童IT期病人,他们的HBV IT期儿童患者的HBsAg清除或血清学转化率明显提高,DNA阴转率均显著提高,提醒成人患者,在IT期间,儿童患者可能更容易实现HBsAg清除。。
3) 亚组分析表明,与NAs单药治疗相比,在IT期成人患者中,IFNα NA联合治疗与HBeAg清除/血清转化率、HBsAg清除/血清转化率显著上升有关,尤其是成人患者的HBsAg清除/血清转化率与儿童患者相似,说明联合IFNα治疗更有助于IT期成人病人获得HBsAg清除。。因此建议IT期成人病人根据IFN接受。α抗病毒战略。
4) 此外,IT期患者肝癌合并年发病率与IA期患者相当。值得注意的是,HBeAg阳性不确定期患者肝癌年发病率较高,这再次证实了这类患者迫切需要接受抗病毒,以降低肝癌风险。
参考文献:
Liu M, Zhao T, Zhang J, et al. Estimating the key outcomes and hepatocellular carcinoma risk in patients in immune‐tolerant phase of chronic hepatitis B virus infection: A systematic review and meta‐analysis[J]. Rev Med Virol. 2024, 34(4): e2570.
本文仅代表作者观点,版权归原创者所有,如需转载请在文中注明来源及作者名字。
免责声明:本文系转载编辑文章,仅作分享之用。如分享内容、图片侵犯到您的版权或非授权发布,请及时与我们联系进行审核处理或删除,您可以发送材料至邮箱:service@tojoy.com





