高密度DTC硅容量生产上市-森丸电子发布系列芯片电容商品


01.硅电容器:被动电子元件的革命性突破
硅电容(Silicon Capacitor)选择单晶硅衬底,通过深槽蚀刻技术在硅晶圆上构建三维微结构,然后通过一系列薄膜沉积蚀刻技术实现高纯度电介质层。这种结合半导体制造技术的创意设计,使得电容性能有了质的飞跃:
·良好的容值稳定性:由于容值漂移,包括温度、偏压和老化特性,不到MLCC的1/10。;
·超薄形态:可以达到50微米以下的超薄厚度,甚至不能达到头发直径;
·极高密度:单位面积容量增加10倍以上;
·ESL和ESR极低。:确保信号完整性,减少电源干燥和阻抗。
传统MLCC采用陶瓷粉末未堆叠烧结工艺,存在先天不足:瓷器固层容易出现微裂纹,高温烧结会导致内部应力堆积,多层结构会带来高寄生电感。硅电容的单晶硅基具有高度有序的原子排列和无晶界缺陷,从根本上解决了这些问题。
硅电容器并非对MLCC的简单改进,而是基于半导体技术的基本技术创新。它的优点体现在多个维度上,直接解决了MLCC在高性能应用中长期存在的“隐性妥协”。AI通讯、高速Cpu等5G/6G通讯、HPC)电源分配网络 (PDN)、ADAS汽车电子(例如ADAS、BMS)、在医疗器械(植入式和体外诊断)等高端领域,硅电容正在迅速取代传统的MLCC,成为新一代电子系统的“性能心脏”,通过减少所需元器件的数量或提高系统的整体可靠性。

02.电子设备的发展趋势推动电容器突破性能界限。
在终端轻薄化的趋势下,电容向“五高一小”发展:“五高”:高容量、高频率、耐高温、耐高压、高可靠性;“一小”:微型化,即 0201,01005 等待超小比例的增加。
·5G/6G通讯
通信带宽达到高频后,信号路径上的消耗变得不可接受,这就要求电容器有更好的Q值和更高的SRF(自谐振频率)。同时,为了将电容器的小型化要求集成到天线阵列和微型模块(如AiP)中,已经达到了完美,01005甚至更小的008004尺寸已经成为R&D的重点。
·汽车电子
ADAS、LiDAR、汽车信息娱乐和动力总成电气化等应用,不仅需要大量的电容器,而且对可靠耐高温(-55℃至 250℃)和耐高压提出了严格的要求。
·高性能计算(HPC)和AI数据中心
新一代CPU、GPU和AI加速器对功率的需求呈指数级增长,其PDN供电网络设计面临巨大挑战。最先进的电源完整性解决方案是为这些高功耗芯片提供稳定、清洁的电源。它直接驱动了极低的ESL(例如IDC)、LGA)以及极高电容密度电容器的不断创新。CPO等下一代封装技术的发展也是关键驱动力之一。
03.森丸电子发布了多种量产硅电容产品特性,如比肩村田等国际大厂。
森丸电子团队深耕行业十余年,致力于推进全面无源集成时代,是国内首家掌握硅电容设计的企业。 制造全链技术的创新公司。目前,基于森丸平台的各种硅电容产品已经实现了头部客户的量产交付,累计交付了数亿个硅电容。
管沟硅电容DTC
基于森丸高密度电容工艺平台的开发和制备,选择深硅刻蚀、薄膜沉积和图形化等半导体工艺。森丸DTC电容广泛应用于射频电路、电源稳压、光通信等领域,具有高电容密度、高抗压、低寄生、高安全性和可靠性的优点。
应用领域
DTC电容器主要应用于光电领域的高速收发模块,因其优异的电气性能,如低ESR、ESL和插入损耗,以及优异的频率稳定性。(DSP、SerDes、Driver、PA)PDN供电网络的去耦电容,以及电源线的耦合电容等。这种高功耗、高速的使用场景对电源的稳定性、清洁度和信号的完整性有着极其严格的要求。需要保证极低的阻抗和插入损耗,减少噪声对数据传输的影响,提高信号的信噪比和稳定性。

在光通信中,DTC硅电容应用示意图
基本参数

以SWAK0505A/B1R0为例,具体设备存在差异,详情请参阅森丸电子网站
商品容值表

典型的产品参数

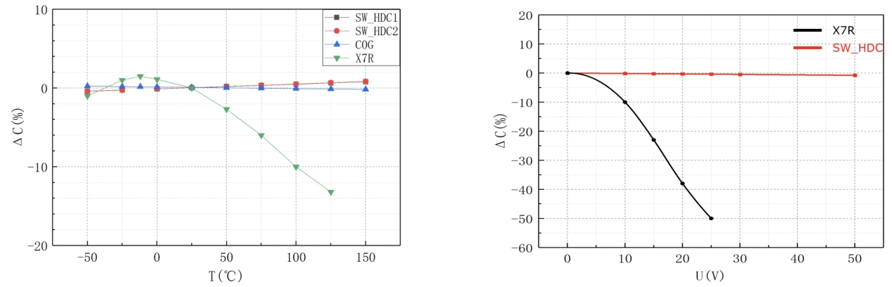
温度漂移测试曲线和DC偏压测试曲线(SWAK0505A/B1R0)

检测曲线和容值频率特征曲线(SWAK0505A/B1R0)
MIM表贴硅电容器
SW-MIM硅电容采用平面薄膜沉积和图形化工艺,使其具有精度高、频率好、精度高、体积小、漂移指数低、性能稳定等优点。
应用领域
MIM电容器的小体积优势适用于高密度集成,低温漂移指数保证了电容值在不同温度环境下变化不大,保证了电路性能的稳定性,广泛应用于射频匹配电路等。

在射频电路中,MIM电容使用示意图
基本参数

根据设备型号不同,更具体的性能可以查询森丸电子官网
商品容值表

三)MIS硅电容
金属_绝缘物_半导体的结构基于森丸高精度电容工艺平台的开发和制备,赋予其高抗压性和稳定性。适用于线路等装配工艺,可与各种半导体器件适应性好,广泛应用于射频电路、光通信等领域。
应用领域
SW-MIS硅电容器具有精度高、体积小、漂移指数低、性能稳定等优点,广泛应用于需要阻挡DC或射频旁通的系统(莲藕)、滤波器、振荡器、匹配网络等,小体积优势有利于系统的整合。

DC 使用示意图Blocking
基本参数

根据设备型号不同,更具体的性能可以查询森丸电子官网
商品容值表

4)玻璃电容
SW-基于森丸高精度玻璃工艺平台开发和制备GMIM电容,选择TGV。、半导体工艺过程,如平面薄膜沉积和图形化。FRP具有较好的机械稳定性,电气消耗较低,可应用于高频领域,适用于MIM电容器的组合应用。FRPMIM电容器具有高击穿场强度、高Q值和稳定性,产品采用TGV连接背面金属接地,采用引线键合焊层结构,方便接线应用。
应用领域
SW-GMIM电容器具有精度高、体积小、漂移指数低、性能稳定等优点,广泛应用于射频匹配电路和光通信等。

光通信电路中GMIM电容的应用示意图
基本参数

根据设备型号不同,更具体的性能可以查询森丸电子官网
商品容值表

本文仅代表作者观点,版权归原创者所有,如需转载请在文中注明来源及作者名字。
免责声明:本文系转载编辑文章,仅作分享之用。如分享内容、图片侵犯到您的版权或非授权发布,请及时与我们联系进行审核处理或删除,您可以发送材料至邮箱:service@tojoy.com




