好消息:夏季穿这些裤子不仅防晒,而且非常凉爽!
原创 科学边角料 科普中国
夏天快到了,是时候穿短裤和短裙了。但是,有些卖裤子的商家会说裤子比短裤凉。这是真的吗?如果夏天穿裤子,怎么选择才能更凉?
大多数情况下穿短裤更凉爽。
人体的散热方法包括热传递、热对流、热传递和汗液挥发。在大多数情况下,这些散热方法决定了短裤比裤子更凉爽。
热量传递是指物体通过电磁波向外传递热量的过程。
热对流是通过流动介质(气体或液体)传递热量的过程,通过热对流不断地带走皮肤表面的热量。
热传导主要发生在皮肤与其它物体直接接触时,比如躺在凉席上,身体表面的热量就会传递到凉席上。
当没有剧烈运动,环境温度不是特别高时,热传递的散热方式占主导地位。然而,在剧烈运动或炎热的环境中,人体的主要散热方式变成了汗水挥发。
锻炼时,如果你想尽快排出热量,最好的办法就是什么都不穿。
这是因为皮肤直接暴露在空气中,有利于汗水的快速挥发,让人感觉更凉爽。而且没有衣服遮挡,热传递,热对流效果更好。所以夏天不需要任何人教,大家都知道穿短袖短裤。

图片库版权图片,转载使用可能导致版权侵权
特殊情况,差别不大
但是在某些特殊情况下,比如环境湿度高,穿短裤和长裤的区别可能就没那么大了。
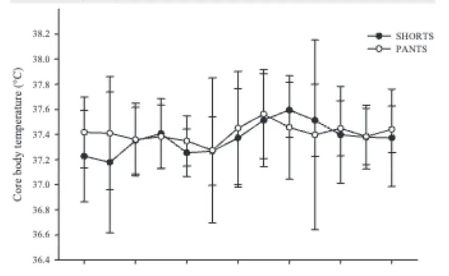
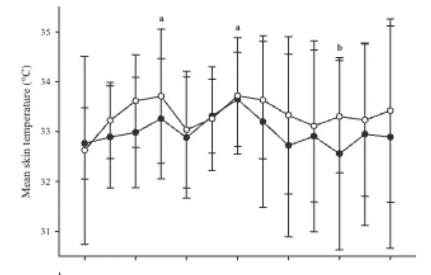
2013 2008年,《澳大利亚和新西兰的公共健康》发表(Australian and New Zealand Journal of Public Health)在热带潮湿环境下,杂志上的文章讨论了穿长裤和短裤对户外工作人员的影响。
研究人员招募了 15 著名的户外市政工人,做过两次户外工作,两次工作强度都很低,户外环境也差不多。
结果表明,虽然受试者穿短裤时小腿的皮肤温度确实略低于穿长裤,但受试者的核心体温和体表平均温度在两次测试中没有明显差异。


也许是因为,在潮湿的热带环境中(研究过程中的湿度是多少? 65%~80%),皮肤汗液的挥发效果会受到一定程度的影响,实验中的短裤只比裤子多露出小腿,这些皮肤提供的散热性能不足以影响核心体温。另外,受试者的运动量不是很大,所以结果就是这样。
但是要不是在这种特殊的环境下,短裤还是比较凉爽一些。
穿裤子要凉,怎么挑?
虽然大多数时候穿短裤更凉爽,但有时我们不得不穿长裤,比如在有蚊子的地方徒步旅行,或者长时间在户外工作,或者我们仍然需要穿长袖长裤来防止被咬和晒伤。

图片库版权图片,转载使用可能导致版权侵权
那么,有没有穿着比较凉爽的裤子呢?确实如此,但是在购买时要注意一些参数。
1
触摸凉感指数
在市场上,我们可以看到一些商品使用“冰丝”等“冷却黑技术”面料。这些面料主要是粘合纤维和聚酯纤维(聚酯)、由聚酰胺纤维(尼龙)等材料制成的,在接触皮肤的瞬间,将热量以热传导的形式传递到衣服中,从而达到寒冷的感觉。
虽然这些“黑科技”不能长时间持续降温,但冰凉的触感确实会让人感觉凉爽很多。买这种裤子的时候要注意。仅仅声称自己感觉“凉爽”是不够的。
在《纺织品 接触冷感性能瞬间测试与评价(GB/T 在35263-2017中,对这类材料的“凉感效果”给出了一个测量指标——触摸凉感指数(qmax)。
这个值越大,触摸瞬间的凉爽感就越强。一般来说,这个值需要大于 0.15,因此在购买“凉感”材料时,建议看看是否有明确的检验报告和具体数值。

2
快干性能
很多夏凉裤也常常与“快干”联系在一起。
好的夏季凉裤应该具有良好的吸水性,可以快速吸收我们皮肤表面产生的汗水。同时,它还具有良好的快干效果,可以挥发吸收的汗水,带走热量。这种吸湿快干也有特殊的标准。
在《纺织品 对吸湿速干性的评定规定了吸湿速干性的两种评定方法:单项组合实验法(GB/T 动态水分传递法21655.1-2023(GB/T 21655.2-2019)。这两种测试方法都可以评估衣物材料的吸湿速干性能。
根据单一组合试验方法,测出的吸湿速干分为三个等级,Ⅲ等级效果最佳,I 级最低。

若采用动态水分传递法,则性能参数分为 5 级,其中 5 级最好,1 级最差。

在“夏凉裤”和“速干裤”产品中,如果标有“吸湿速干”和“吸湿排汗”,则需要动态水分传递方法中的性能参数评级不低于 3 级。
购买时仔细观察商家的宣传页面是否有明确的检验报告。

3
宽松透气
有的人可能会注意裤子的颜色,觉得夏天穿浅色系的衣服更不容易吸热,更凉爽。但是事实上,宽松程度比颜色更重要。
1980 每年都在《自然》杂志上发表。(Nature)在最后一篇文章中,我们讨论了长期生活在沙漠地区的贝都因人,他们穿的长衫是黑色的。研究人员发现,在太阳下穿黑色和白色长袍对人体体温影响不大。
虽然黑色长袍确实更容易吸热,但是外观温度比白色长袍高。 6 ℃,但传达到体表的热量不会有太大变化。这是因为黑色长衫内部会形成更强的对流效应,长袍内部的热空气会上升并逸出,宽大的长袍底部会吸入空气,不断帮助身体降温。

长袍表面温度不影响体表温度,图片来源,参考资料6
虽然我们大多数人并没有生活在这样一个极热的地区,但是这个结论对我们穿衣服也有一定的启发。宽松比颜色更重要。宽松的衣服有利于空气进入,增强空气流通,带走热量,同时也有利于汗液的挥发。
当然,裤子、连衣裙和连衣裙还是有一些区别的。毕竟裤子和连衣裙腰部有封口,气体透气性不如贝都因人的连衣裙,所以除了宽松之外,还要注意透气性。
透气性一般采用透气性指标,但与之前的吸湿速干凉效果不同,透气性没有具体的下限,所以夏季凉裤产品很少直接标注透气性,拿到后还是需要手动感受。
4
防晒
一般材质的衣服在太阳下也能起到一定的防晒作用,但要想有更好的防紫外线效果,还是需要购买有紫外线保护性能测试报告的衣服。
在《纺织品 防紫外线性能评定(GB/T 在18830-2009标准下,有明确的防紫外线效果测试步骤。
并且还说明了,紫外保护指数 UPF 大于 紫外光谱透射比平均值40。 T(UVA)AV低于 只有5%,才能称之为防紫外线产品。假如长时间在户外,建议选择 UPF 在 40 上述裤子,并有相应的检验报告。

总之,只要没有湿热的“桑拿天”,短裤短裙肯定比裤子凉快。如果你想穿裤子,想要相对凉爽,可以选择触摸凉爽指数高于 0.15、吸湿速干等级高于3级,宽松透气,防紫外指数大于3级, 40 的裤子。
最后值得一提的是,这些性能参数会随着衣物的清洁而减少,一些商家会在几次清洁后提供这些参数的检验报告。如果有这样的报告,肯定会更分。
参考文献
[1]https://www.npr.org/2012/07/25/157302810/summer-science-clothes-keep-you-cool-more-or-less
[2]Sinclair W H, Brownsberger J C. Wearing long pants while working outdoors in the tropics does not yield higher body temperatures[J]. Australian and New Zealand Journal of Public Health, 2013, 37(1): 70-75.
[3]纺织品 接触冷感性能瞬间测试与评价(GB/T 35263-2017)
[4]纺织品 评价吸湿速干性 第一部分:单项组合试验法(GB/T 21655.1-2023)
[5]纺织品 评价吸湿速干性 第二部分:动态水分传递法(GB/T 21655.2-2019)
[6] Shkolnik A, Taylor C R, Finch V, et al. Why do Bedouins wear black robes in hot deserts?[J]. Nature, 1980, 283(5745): 373-375.
[7] 《纺织品 防紫外线性能评定(GB/T 18830-2009)
策划制作
作者:科学的边角料 科普创作者
孙明轩的审批 教授上海工程技术大学 中国科普作家协会会员
策划丨林林
原题:“好消息:夏天穿这些裤子不但防晒,而且很凉快!”
本文仅代表作者观点,版权归原创者所有,如需转载请在文中注明来源及作者名字。
免责声明:本文系转载编辑文章,仅作分享之用。如分享内容、图片侵犯到您的版权或非授权发布,请及时与我们联系进行审核处理或删除,您可以发送材料至邮箱:service@tojoy.com





