美容化妆品首次下跌,国际巨头市值暴跌1.5万亿
在中国市场所在的亚太地区,奢侈品集团的凉意仍在加重!
“包括中国在内的亚太市场有机销售额暴跌11%,连续5个季度下滑;贡献率从2024年的33%下降到30%。”这个数字来自2025年Q1财务报告的法国奢侈品巨头LVMH集团。
四月十四日巴黎股市收盘后, LVMH集团公布了2025年Q1财务报告:其收入为203亿欧元(约1686亿元人民币),有机下降3%,低于市场预期的2%。

根据LADYMAX的报道,财务报告发布后,LVMH集团在纽约的存托凭证一度下跌7.5%,收盘价下跌6.2%。
截至4月15日18:根据companiesmarketcap的数据,LVMH集团的市场价值为2771.3亿美元(约合20276亿元人民币)。与聚美丽之前整理的Q1末相差320亿美元(约合2341亿元人民币)。
另外,整理2025年LVMH集团Q1财务报告,以下信息值得关注:
1、截至4月15日18:与2023年4月峰值相比,LVMH集团的市值缩水超过2000亿美元。(约合人民币14632亿元);
2、两年来,香水及化妆品部门、丝芙兰等精品零售部门的有机收益首次下滑;
3、在日本市场,LVMH集团也遭受了两年来首次单季下滑;
4、在持平/连续7个季度之后,美国市场也同样转负,遭受了下滑。
可以看出,LVMH集团在日本、美国等市场也面临挑战,除了中国所在的亚太市场(日本除外)陷入业绩持续下滑的困境。可以预见,未来LVMH集团等奢侈品巨头叠加关税的影响并不容易。
据LADYMAX报道,随着特朗普关税政策成为行业潜在风险,美国对经济衰退的担忧加剧,奢侈品行业正准备迎接近年来最长的低迷周期。
其中,汇丰银行预计2025年全球奢侈品产业利润增长将从5%降至零。
Bernstein(著名投资机构)则更加悲观,将之前对行业全年增长预期的5%减少到2%。
化妆品香水业务下滑
关注LVMH集团的财务报告表现,并不乐观。
除了手表和珠宝部门之外,LVMH集团的五大业务部门都出现了下滑。

值得注意的是,香水和化妆品部门、丝芙兰所在的精品零售部门,这两年一直保持增长,今年Q1迎来了1%的有机下滑;在实际报告的基础上,是平等的;这也是两个部门两年来的第一次下滑。

与Q1两年相比,2023年和2024年,香水和化妆品部门实现了双位数和高个位数的有机增长;同期,精品零售部门实现了双位数的有机增长。
LVMH集团在财务报告中指出,2025年Q1香水和化妆品业务保持稳定,继续加强其选择性分销政策,在香水、化妆品和护肤品方面保持创新势头。
比如,Christian 受其代表性香水系列的热销推动,Dior表现良好;彩妆系列(包括Foreverever)、Dior Addict)以及护肤品的不断创新,也为品牌整体表现做出了积极贡献。
此外,需要注意的是,丝芙兰等精品零售部门的业务也有1%的有机下滑。LVMH集团在财务报告中指出,“2025年第一季度,该部门的收入保持稳定。”
在实体店业务强劲的推动下,丝芙兰继续增长,尤其是在北美地区,零售网络不断扩大。
乐蓬马歇百货(Le Bon Marché)这是一个很好的年初开始。LVMH集团表示,“将进一步加强其百货公司的组织结构,为其La Samaritaine(莎玛丽丹百货)和 Le Bon Marché引入共同治理系统。
世界各地的奢侈品旅游零售商DFS仍然受到国际环境的限制,表现出压力。他说:“中国香港和澳门的人流量很低。”与此同时,财务报告显示,其威尼斯购物中心将于2025年停止H1运营。
从业务表现来看,LVMH集团几乎全线下滑,其中美妆相关业务也在连续几个季度上涨后首次下滑,这意味着这家奢侈品巨头不仅在主场失利,而且在香水和化妆品的发展上也面临着一定的考验。
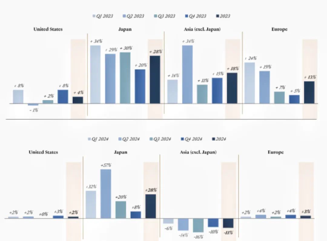
亚太市场连续五个季度下跌。
就区域市场而言,LVMH集团正面临一定的困境。在其四大市场中,只有欧洲市场实现了2%的有机上涨,成为Q1唯一的区域市场;包括中国在内的亚太、美国和日本市场都面临着挑战。

财务报告显示,2025年包括Q1中国在内的亚太市场有机销售额暴跌11%,结合近两年的业绩,这已经是其在该地区连续5个季度下滑,连续4个季度双位数下滑;此次奉献的比例也从2024年的33%下降到30%。

首席财务官LVMH集团Cécile Cabanis据说mainlandChina的本土消费还没有明显回升,中国的市场需求“总体趋势与去年底一致”。麦肯锡此前估计,2024年mainlandChina对奢侈品的需求下降了18%至20%。
另外,美国市场收入在第一季度恶化,销售额也有机下降3%,这也是自去年以来第一季度的下降。
LVMH集团在财务报告中指出,这主要是由于丝芙兰的表现,竞争对手亚马逊在价格战中非常激进。此前,市场一直希望美国的高净值客户能够带动全球奢侈消费的复苏,尤其是在中国市场前景仍然低迷的背景下,但这一预期正在迅速调整。
不过,Cécile Cabanis据透露,LVMH集团仍在考虑扩大美国本地生产,但是具体节奏和产能规模仍在评估之中。
另外,值得注意的是,LVMH集团在日本市场也表现不佳。财务报告显示,2025年Q1市场销售额有机下降1%。
根据近两年的财务报告数据,在前八个季度LVMH集团的表现中,日本市场有机增长。除了2024年Q4的高个位增长,其他七个季度都是双位数增长。
可以看出,日本市场曾经是推动LVMH集团增长的关键动力。“然而,随着中国消费者消费的减弱,它在高基数下放缓了。”LADYMAX在报道中说。
很明显,LVMH集团在亚太市场、美国市场和日本市场都面临着增长挑战。正如开头所说,它在中国的亚太市场面临着更严峻的考验。
回顾过去几年的整体表现,可以说并不乐观。Q1的个位从2023年的营业收入增长,到2024年的小幅增长,再到2025年的个位下滑。 很明显,“业绩提升”已经成为摆在它面前急需解决的问题。
从市场价值来看,上面已经提到,与2023年4月高峰期(约合人民币36200亿元的4948.4亿美元)相比,已经缩水了2000多亿美元(约合人民币14632亿元)。

此外,聚美丽此前在《全球美容集团最新排名》中发布!文章分析中提到,在市值方面,LVMH集团的竞争对手爱马仕集团正在一步步紧逼,截至4月15日18:爱马仕(约合人民币20432亿元的2793亿美元)已经超过了LVMH集团。

未来,随着消费市场、概念、关税等因素的叠加,LVMH集团要想提升业绩并不容易。目前,奢侈品集团需要思考和应对的核心问题之一是如何应对长期低迷。
来源:LVMH财务报告,LADYMAX、华丽志,companiesmarketcap等等
本文来自微信微信官方账号“聚美”(ID:jumeili-cn),作者:马尔斯,36氪经授权发布。
本文仅代表作者观点,版权归原创者所有,如需转载请在文中注明来源及作者名字。
免责声明:本文系转载编辑文章,仅作分享之用。如分享内容、图片侵犯到您的版权或非授权发布,请及时与我们联系进行审核处理或删除,您可以发送材料至邮箱:service@tojoy.com




