被人嫌弃的脂包肌,其实才是最好的身材!
原创 蒋永源 科普中国
最近,刘晓庆的食欲和营养搭配在综艺节目《一路花开》中很受欢迎。在女明星连一条面都要咬三次就不敢多吃的娱乐中,可以说是独一无二的。很多人看完之后都觉得人不能太瘦,不如胖一点。

事实上,这几年脂肪被很多人误解了,尤其是一些女性,害怕自己身上多了一点脂肪,不惜饿肚子也要瘦下来。
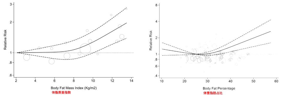
事实上,适当保留脂肪是人体的自我保护,这在女性中更为明显。根据《国际肥胖杂志》上的一项收集分析,人体的脂肪量与全因死亡率呈J型关系,过高或过低都会增加死亡风险;其中,体脂是 全因死亡的风险在25%时最低。

参考文献[1]
而且在这项研究中,还发现了一个规律,即脂肪增加,男性全因死亡率增加更明显,女性死亡风险增加更柔和。

参考文献[1]
所以,大家千万不要执着于过度减肥,以致失去了自己的“铠甲”啊!
脂肪,的确比想象中更重要!
虽然脂肪过多不仅会使人发胖,影响外观,还与心血管疾病、高血压等健康问题密切相关,但实际上脂肪在人体中起着至关重要的作用。
1
为身体提供能量
首先,脂肪是人体的主要能量来源之一。脂肪可以提供持续的能量,减少对碳水化合物(糖原)的依赖,减缓疲劳,尤其是在低强度、长期运动或劳动时。这意味着适量的脂肪储备有利于提高我们的耐力,使我们在运动或日常活动中更持久、更有效率。


2
保护身体器官
第二,脂肪也有很大的机械缓冲作用。
关节周围的脂肪(如脚后跟和手掌)可以吸收冲击力,减少运动或行走时的损伤;眼圈内的脂肪有利于固定眼球,避免震动造成的损伤;肾脏和心脏周围的脂肪就像一个天然的“保护垫”,在固定器官位置的同时,提供额外的缓冲,减少外界压力造成的伤害。
3
维持人体正常代谢
脂肪细胞还可以分泌各种激素,帮助维持人体正常代谢。在非肥胖的情况下,脂肪细胞会分泌各种保护激素。例如,脂联素可以增强肝脏和肌肉对胰岛素的敏感性,保持血管弹性,从而降低心血管疾病的风险;瘦素可以抑制食欲,促进脂肪氧化,避免体脂过度积累。这些激素调节促进适当脂肪成为新陈代谢平衡的重要保证。
此外,脂肪细胞还起着“代谢缓冲”的作用,即当能量摄入过多时,可以储存多余的脂肪,防止脂肪过度沉积在非脂肪细胞(如肝脏和肌肉)中,从而降低代谢综合征的风险。
研究表明,脂肪营养不良(脂肪细胞很少)患者通常会在骨骼肌和肝脏中出现异常脂肪沉积,导致胰岛素抵抗力明显高于普通肥胖患者。值得一提的是,身体下部脂肪储存能力强,在血液中释放的游离脂肪酸较少。
所以胰岛素抵抗比腹部脂肪堆积更难。这就是为什么“梨形身材”在健康风险上比“苹果形身材”更占优势。
4
调节免疫功能
适量的脂肪含有消炎等长期免疫细胞。 M2 巨噬细胞,它们能促进组织修复,保持胰岛素敏感。与此同时,脂肪细胞中的调节性 T 细胞还能帮助控制炎症水平,使身体保持低炎症状态,从而降低慢性疾病的发生风险。

参考资料[3]:瘦脂库中含有多种免疫细胞,主要是长驻的免疫细胞。 M2 巨噬细胞,嗜酸性粒细胞和 Treg,起到保护作用。促炎细胞在营养过剩的情况下会堆积,包括 M1 巨噬细胞,肥大细胞和各种细胞 T 引起慢性炎症的淋巴细胞增加了疾病的风险。
一般来说,脂肪不是我们想象中的“负担”,而是身体的一部分,承担着许多重要的功能。保持适当的脂肪储备不仅可以让你看起来更健康,还可以保证身体各种功能的正常运转。
这样做,让身体保持适当的脂肪
因为脂肪在人体中起着如此重要的作用,我们该如何在保持健康的同时,保持适量的脂肪?
首先,饮食结构要合理。比如刘晓庆的碳水化合物、蛋白质、脂肪三种营养素都没有完全从饮食中去除。而且,如果你喜欢含有优质脂肪和蛋白质的食物,你也会吃绿色蔬菜来维持膳食纤维和维生素的摄入。
其次,我们需要有一个科学的运动习惯。无论是快走、跑步、游泳、深蹲还是卧推,我们都应该选择适合自己的运动方式,主要是因为我们可以坚持和养成习惯。而且健身计划合理,不要盲目增加体重,也不要随意划水。

图片库版权图片,转载使用可能导致版权侵权
最后,保持良好的生活习惯,不要熬夜,保证充足的睡眠;适当的户外活动,接触大自然,可以缓解压力,有助于保持脂肪的健康分布。
脂肪不是人体的敌人,而是保持健康的重要组成部分。与其盲目减脂,不如学会如何科学管理,保持身体处于最佳状态。
参考文献
[1]Jayedi A, Khan TA, Aune D, et ak. Body fat and risk of all-cause mortality: a systematic review and dose-response meta-analysis of prospective cohort studies. Int J Obes (Lond). 2022;46(9):1573-1581.
[2]Hargreaves M, Spriet LL. Skeletal muscle energy metabolism during exercise. Nat Metab. 2020 Sep;2(9):817-828.
[3]Rosen ED, Spiegelman BM. What we talk about when we talk about fat. Cell. 2014;156(1-2):20-44.
[4]Liu Y, Qian SW, Tang Y, et al. The secretory function of adipose tissues in metabolic regulation. Life Metab. 2024;3(2):loae003.
[5]Grundy SM. Adipose tissue and metabolic syndrome: too much, too little or neither. Eur J Clin Invest. 2015;45(11):1209-17.
策划制作
作家蒋永源 第三军医大学内科硕士学位
对黄盘冰进行审核 江苏南通苏锡通科技产业园区人民医院 内科主任
策划丨一诺
原题:“被人嫌弃的脂包肌,其实才是最好的身材!”
本文仅代表作者观点,版权归原创者所有,如需转载请在文中注明来源及作者名字。
免责声明:本文系转载编辑文章,仅作分享之用。如分享内容、图片侵犯到您的版权或非授权发布,请及时与我们联系进行审核处理或删除,您可以发送材料至邮箱:service@tojoy.com





