爱吃辣的人不易得糖尿病,也许是真的,但是有一个前提…
越来越多的人患有糖尿病。
中国的 2 糖尿病的发病率高达 11.2% [ 1 ] 。换言之,每一个 10 就个人而言,有 1 个人得了糖尿病!
这个数字仍然比较 2017 年统计的 提高了10.4% 0.8 %。
别小看这 0.8%,放在我国人口基数上,但超过了我国。 1000 万人的规模啊。
如何预防糖尿病?中国科学家做了很多研究。我们发现有一个研究非常有趣——研究吃辣和糖尿病的风险。
(你为什么选择这个?请到评论区告诉我们原因。)
这项研究由上海交通大学宁光院士团队进行 [ 2 ] 。研究方法非常有趣——
步骤一:依据搜索平台和购物平台 / 外卖 APP 这些数据,包括超级数据 2 亿万中国人喜欢饮食样品;
步骤二:从"" 2010 2008年,在中国非传染病监测中获得了代谢相关数据,然后分析了饮食偏好、地域分布与糖尿病风险的关系。
中国人的饮食偏好被归类为 3 烹饪方法(煎炸、烤串、速食)和烹饪方法 3 味道(辣、麻、甜)。
参与调查的大部分是35岁的年轻人。 超过70%的人在年龄以下。
研究表明,中国不同地区的居民在饮食偏好方面存在显著差异。
简单地帮你总结一下
更喜欢小烧烤和油炸食品的北京、东北、海南;
西部地区以四川为核心,更喜欢吃辣和辣;
沿海地区和京津地区,更喜欢吃甜食。(京八块和大麻花:快来吃我啊!)
另外,性别、年龄、地理、气候和经济因素,也会影响口味:
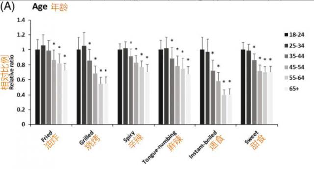
1. 年纪
随着年龄的增长,人们会更喜欢清淡的食物。与其他口味偏好相比,老年人对火锅和烧烤的偏好大幅下降。
(想想每一次带父母出去吃饭,他们是不是更喜欢炒菜?)
2. 性别
与男性相比,油炸食品和甜点在女性中更受欢迎,在女性中的比例高于男性。 33% 和 35%。女人更喜欢辛辣的食物。而且其它饮食偏好在男女之间没有明显的差别。
(来源:《Journal of diabetes》)
3. 纬度
高纬度地区的居民更喜欢油炸食品(寒冷的天气需要脂肪来御寒)。高海拔地区的居民似乎不太喜欢烧烤和甜点,但他们更喜欢辛辣食物。
4. 气候
1 在月平均气温较低的地区,居民更喜欢油炸食品;7 在月平均气温较高的地区,居民对麻辣食品的偏好较低,对甜点的偏好较高。(广东人:这个我熟)
下一步,就是这项研究的重点——食物偏好与糖尿病等疾病有关。
简而言之,这篇论文有两个观点:
煎炸,烤串,糖尿病,高血压都是成正比的。
甜点与糖尿病成正比;麻辣和糖尿病,空腹 / 餐后血糖负相关。
先说一下:任何一项研究都有其局限性,这一点也是如此。
这项研究是基于网络搜索结果和外卖订单,不一定反映现实世界的结果。因为样本上有一些误差。例如,有些人可能经常自己做饭或直接出去吃饭。
所以,这项研究更多地体现了“喜欢上网搜索和经常点外卖”的人群。然而,研究结果仍然具有参考价值。
我们再来分析一下,为什么会有这样的结局。
首先,让我们看看油炸和烧烤食品。
煎炸过程对食物的影响包括:
增加更多油脂;
降低含水量;
更加脆脆可口。
简单地说,就是让你摄取更多的热量,而且烤串也有类似的影响。
摄入过多的热量会对糖尿病、高血压产生影响,不必多说吧?
另外,经过高温处理的成分可能含有一些有害物质,例如反式脂肪(TFA)以及晚期糖基化的终产物 (AGEs),这种物质也被证明是促进代谢性疾病的发生。 [ 3 ] 。
对甜点而言,过去的研究表明,过量摄取果糖和蔗糖可能是代谢性疾病的潜在原因。 [ 3 ] 。
所以,煎炸、烤串、甜点,都会增加代谢性疾病的风险,如高血压。
吃辣和糖尿病到底有什么关系?
继续看下去� �
这一问题的准确答案,仍在研究中。
但有研究表明,辣椒素水平与降低空腹血糖水平和胰岛素水平有关。
食用含有辣椒的食物可以增加能量消耗和脂肪氧化,这可能有助于降低肥胖、高血压等疾病的风险。 [ 3 ] 。
另一项研究表明,经常吃辣椒可以缓解饭后高胰岛素血症。辣椒可能会增加肝脏胰岛素受体的数量和 / 或者亲和力,导致胰岛素清除率增加,进而改善高胰岛素血症是由饮食引起的 [ 4 ] 。
要注意的是,香辣食品中可能出现的高油、高盐等问题,这对血糖、血压的控制是不利的。
所以,饮食的总体原则是:低油少糖控盐!
假如自己不喜欢吃辣,或者吃辣后会觉得不舒服,倒也不必为了“预防糖尿病”而勉强自己吃。
作者宁光院士也表示:“我不会让每个人都吃辣,但是从研究的角度来看,辣味在一定程度上可以起到预防糖尿病的作用。”
假如能接受辛辣的食物,适量吃一些辛辣的食物,也许还可以在享受美食的过程中,顺便帮助你控制血糖。
爱吃辣的人,要不要点个“看”庆祝一下?
不爱吃辣的人,可以转发给爱吃辣的朋友哦 ~
评审专家:任萌
内分泌内科教授中山大学孙逸仙纪念医院。
参考文献
[ 1 ] 中华医学会糖尿病学分会 . ( 2021 ) . 中国 2 糖尿病防治指南 ( 2020 年版 ) . 中国糖尿病杂志 , 13 ( 4 ) , 95.
[ 2 ] Zhao Z , Li M , Li C , et al. Dietary preferences and diabetic risk in China: A large ‐ scale nationwide Internet data ‐ based study [ J ] . Journal of diabetes, 2020.
[ 3 ] Zhao, Z., Li, M., Li, C., et al. ( 2020 ) . Dietary preferences and diabetic risk in China: A large ‐ scale nationwide Internet data ‐ based study. Journal of diabetes, 12 ( 4 ) , 270-278.
[ 4 ] Ahuja, K. D., Robertson, I. K., Geraghty, D. P., et al. ( 2006 ) . Effects of chili consumption on postprandial glucose, insulin, and energy metabolism. The American journal of clinical nutrition, 84 ( 1 ) , 63-69.
* 腾讯医典内容团队制作
相关阅读
希望在第一时间了解更多的健康内容,记得把它腾讯医典设为星标� � 哦,我们每天都在等着遇见你!
本文仅代表作者观点,版权归原创者所有,如需转载请在文中注明来源及作者名字。
免责声明:本文系转载编辑文章,仅作分享之用。如分享内容、图片侵犯到您的版权或非授权发布,请及时与我们联系进行审核处理或删除,您可以发送材料至邮箱:service@tojoy.com




